ALV/CGS-3廣角靜態/動態同步一體式激光光散射儀是德國ALV公司出品的第三代轉臂式廣角動靜態同步激光光散射儀,它采用雙APD互相關配置實時同步測試,并且提供開機25.000°角度定位,清理轉臂累積角度誤差,保證了動靜態數據測試的可靠性。一體式激光光散射儀的設計也使得儀器日常維護簡單便捷。動靜態光散射功能的同步實施、動態ZIMM作圖以及DDLS和CRTU選項也使得儀器性能提升,滿足用戶的諸多需求。
一體式激光光散射儀的特色:
體式激光光散射儀的經典應用:
(1)分子量
(2)形狀因子
(3)粒子尺寸
(4)多分散性
(5)動態ZIMM作圖
一體式激光光散射儀的適用體系:
(1)納米粒子
(2)高分子溶液
(3)膠體
(4)蛋白質
(5)凝膠
技術 · 一體式激光光散射儀
(1)一體式設計
ALV 公司推出的第三代光散射儀產品采用一體式激光光散射儀設計取代了原有的光學平臺搭建設計,儀器的一體化設計使得復雜的專業儀器變身為常規的測量儀器,便于維護。光散射的測試尤其是具有角度依賴性的靜態光散射的測試對于光路的準直具有很高的要求,ALV/CGS-3 每次開機儀器會自檢,將轉臂定位于 25.000 度角,有效清零轉臂的角度累積誤差,大大提高測量精度。所以就無需專業的工程師對光路進行維護。另外該儀器先進的一體式激光光散射儀可以避免實驗室燈光及空氣中的灰塵干擾散射光強的檢測,不用在暗室內操作實驗。

(2)準互相關技術
現今的光散射儀大多采用光子檢測器,不管是雪崩式光電二極管檢測器(APD),還是光電倍增管檢測器(PMT),所有的光子檢測器在檢測到一個光子后都會有一定的概率產生一個電子脈沖,也就是所謂的后脈沖效應。盡管儀器使用了高靈敏度的檢測器,仍會有不到3%的概率發生后脈沖效應,當滯后時間小于 1μs 時會導致重大錯誤。互相關模式可以抑制后脈沖效應,使測量低至納秒的滯后時間段。對于快擴散測試相當有效。

在遠離臨界點的純液體中,光散射會導致由熵漲落產生的瑞利信號,這個過程是擴散型的,并得到一個時間常數和散射矢量成反比的指數型自相關函數。由于光散射與相關光譜相結合的測量是在沒有任何宏觀溫度梯度下進行的,這就成了測量擴散常數、熱導率傳統方法的一個有趣替代手段。其精度為≤1%。但是與光子相關光譜研究的其他擴散相比,其相關部分很小,過程很快,就出現了特殊的實驗問題。特別是檢測器系統的自相關必須在很大程度上降低。因此提出了兩個檢測器的互相關裝置。這使得通過通道馳豫給出完整的自相關函數的初始成為可能。(意味著互相關方案規避了后脈沖導致的問題。)
(3)光強自衰減
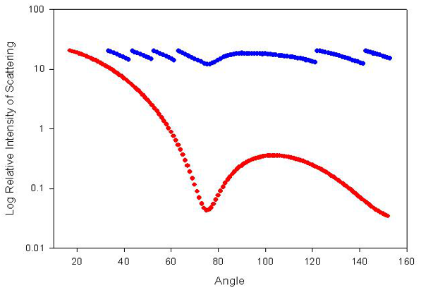
不同的體系具有不同的散射光強,有些體系可能散射較弱,有些體系可能散射很強,通過自衰減裝置,對入射光強自動調整到理想范圍。而手動衰減則由于某些體系陌生,調節很難一步到位,要想試到滿意的數據,可能需要數次調整,而對于同一種體系來講,不同的角度得到的散射光強差異也是很大的,按角度去進行調整也并不現實,即便得到滿意的散射光強,后期的數據處理也相當繁瑣。自動調節功能則實現光強調節完全自動化,儀器會自動調整并記錄衰減倍數并進行存儲,在計算的時候會自動將這些數據帶入。這樣得到的數據性噪比會“又上一層樓”。光強自調節還有一個功能就是對檢測器的保護,有效的避免了因為信號突變而導致檢測器燒毀。

500nm單分散乳膠粒子光強角度依賴性
(紅色為自衰減,藍色為手動衰減)
(4)動靜態同步
ALV/CGS-3一體式激光光散射儀采用光纖傳導信號,大大減小了在雜散光對散射光強的影響,既能得到動態的小的相干體積,又能靈敏的檢測到穩定的散射光強,從而使得動態,靜態光散射的測量可以同時進行。動靜態同步測試有兩方面的意義,一則是提高了測試效率,縮短了測試周期,無需對動靜態數據分別測試;二則是同步對有時間依賴性體系的測試。

選項 · 一體式激光光散射儀
(1)激光
ALV/CGS-3一體式激光光散射儀除了標配的660nm、50mW的DPSS激光器之外,還能提供632.8nm的氦氖激光器以及532nm的固體激光器等不同波長、不同功率的激光器可選,以滿足用戶不同體系的需求。

(2)去偏振動態光散射(DDLS)
該裝置允許測量各向異性樣品(如棒狀粒子)的去偏振光散射,以安裝在檢測單元前的格蘭-湯姆遜棱鏡為分析元件。該棱鏡安裝在特殊的旋轉支架上,該支架允許棱鏡平面旋轉,而無需松開光學檢測調整。

(3)樣品瓶平移與旋轉裝置
許多凝膠狀樣品表現出非遍歷行為,這在光散射上會導致測量誤差。ALV開發了一款樣品瓶平移與旋轉裝置(Cuvette Rotation and Translation Unit, CRTU),該裝置允許測量非遍歷性樣品,如凝膠。其設計理念是,通過旋轉和上/下移動,可以測量樣品的不同散射中心,并且如果測量到足夠多的點,則可以給出樣品散射行為的系綜平均值。該裝置提供兩種獨立的運動,一個是逐步變速或連續旋轉,另一個是逐步變速或連續上/下運動。當然,這兩種運動是可以結合的。特殊的,高精度的滾珠軸承保證兩種運動的高再現性。兩個帶齒輪的直流電機允許在很寬的范圍內變速,而不會出現步進電機不可避免的“變形”。

參數 · 一體式激光光散射儀
? ?德國ALV公司出品的新一代的ALV/CGS-3型一體式激光光散射儀實現了靜態光散射和動態光散射兩種模式的同步測量和數據儲存,一體化的設計,使得儀器相對上一代結構所占空間減少,無需光學防震平臺,儀器日常操作而不必進行繁瑣的光路調整工作。儀器預先準直光路,并具有開機自檢功能,開機后轉臂自動定位至25.000°的物理角度(精度0.003°),能有效清理轉臂轉動累計誤差,同時該儀器提供了一個保護罩,能減少空氣中較多灰塵以及雜散光給實驗帶來的困擾,而且正常的實驗室燈光不會對儀器工作造成影響測試的特別影響。
ALV/CGS-3一體式激光光散射儀裝配有瑞典Cobolt AB品牌的50mw的DPSS激光器,660nm,穩定性高(輸出功率波動小于±1%)。根據EN 60825-1/11.01標準,儀器的激光安全等級在正常的操作測量狀態下達到一級(Class 1)。(也可以根據用戶需求選配其他激光)
一體式激光光散射儀儀器采用光纖、ALV靜態-動態增強器單元以及準互相關技術,兩個高靈敏度(量子效率在660nm波長下達65%以上)雪崩式光電二極管檢測器(APD),既可以采用準互相關模式,又可以采用自相關模式進行測試。
一體式激光光散射儀采用85mm外徑石英材質折光率適配池,其對中性≤±5μm,正交性≤±10μm,0°和180°兩個鍍抗反射膜的平行窗口,盡可能地降低光的背向反射。內置溫度探頭進行實時溫度監測,樣品池上方的激光安全保護蓋,可在取放樣品瓶時自動切斷激光光路,保護操作人員和檢測器的安全。
ALV/CGS-3轉角系統轉角范圍12°到152°,分辨率+/-0.025°,角度轉換速度可達20°/s,兩個光學限位開關,避免轉臂轉動超出限定范圍。
ALV/CGS-3提供光強自衰減系統,八個衰減倍數待選,用戶可通過軟件進行設置使得儀器能自動選擇合適的衰減倍數,實現散射光強優化。當然,用戶也可以手動選擇衰減倍數來進行光強衰減。
ALV/CGS-3一體式激光光散射儀常規款測試溫度上限為70℃,同時提供吹掃接口,供用戶在露點以下測試時進行氮氣或者干燥空氣吹掃,避免水汽凝結,影響實驗。
對于樣品量稀少的樣品,ALV/CGS-3可提供5mm樣品瓶支架,支持用戶可采用5mm核磁管進行測試。
原理 | 經典靜態光散射 / 動態光散射 / 三維光散射技術 | 散射角 | 12 ~ 152°,分辨率0.025°(推薦范圍:17 ~ 150°) |
|---|---|---|---|
分子量范圍 | 360 Da to >1 E9 Da(上下限和樣品相關) | Rh測量范圍 | 0.5 nm ~ 5 μm(上下限樣品相關) |
A2范圍 | 10 E-7mol dm3/g2(和樣品相關) | Rg范圍 | ≥0.5(上下限樣品相關) |
激光波長 | 660nm標配外,可根據用戶要求定制 | 激光功率 | 50mW標配外,可根據用戶要求定制 |
激光控制 | 系統自動優化,8檔 | 激光安全等級 | 操作狀態下Laser Class 1,EN 60825-1/11.01 |
檢測 | 特別的光纖檢測單元:ALV動靜態增強器 | 檢測器 | 雙APD檢測器,量子效率>65%,暗計數率<250 |
檢測體積* | 1×1×0.3 mm @ 90° | 相關器 | 312通道,弛豫時間12.5 ns ~ 3435.9s,自相關及互相關 |
溫控范圍** | ?~70℃(升級中高溫選項: ~ 90℃) | 實驗室要求 | 室溫波動<±1.5℃,無塵 |
| 軟件 | 包括Cumulant、CONTIN以及動靜態 Zimm Plot算法等 | 樣品瓶支架 | 5mm、10mm、17mm可選 |
| 尺寸 | 450(帶蓋650)×930×350mm | 重量 | 約45kg |
*檢測體積不等同于樣品體積,樣品體積和樣品瓶規格相關,而檢測體積是個光學參數。使用10mm外徑樣品瓶,樣品溶液需達到5mm高度,其對應的樣品體積大約250μl。再小的樣品瓶也可以用,但會降低SLS測量效果。
*低于露點測試時需要進行吹掃,ALV/CGS-3已經提供氮氣或干燥空氣吹掃接口。